Safety Stock Formula

Inventory Holding Cost and Tariff Analysis Tool

Real-time Estimate:

Safety Stock: 0.00 units

Holding Cost: $0.00





Formula Explanation

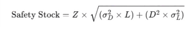
Safety Stock Formula
  • D (Average Daily Demand): Average number of units sold daily. If your store sells 75 units daily on average, input 75.
  • L (Average Lead Time in Days): Number of days between placing an order and receiving goods. For example, a supplier who delivers in 7 days means L = 7.
  • σD (Demand Standard Deviation): Measures variability in daily demand. High variation = more uncertainty = higher safety stock.
  • σL (Lead Time Standard Deviation): Indicates how consistent your supplier is. More variance = greater need for buffer stock.
  • Z (Z-score): The service level you want to achieve. Higher Z = fewer stockouts, but higher inventory cost.
    • 1.28 for 90% service level
    • 1.65 for 95% service level
    • 2.05 for 98% service level
    • 2.33 for 99% service level

Formula:
Safety Stock = Z × sqrt((σD2 × L) + (D2 × σL2))
This ensures enough stock to meet demand despite supply or demand fluctuations.





Quando Solutions QuandoSolutions LLC © 2025